OLIVER L.
HAIMSON,
Ph.D.

Associate Professor

Toward equitable social media content moderation for marginalized individuals and communities

In this line of research, my collaborators and I address online content moderation and user bans from the point of view of people from marginalized groups whose content or account was removed because it was wrongly or debatably deemed inappropriate by a platform. We examine identities and content that are false positives or gray areas – users and content that are removed from a site yet do not actually violate site policies, or fall into a gray area with respect to site policies and community norms. This research is funded by my NSF CAREER grant, "Toward Equitable Social Media Content Moderation for Marginalized Individuals and Communities."

Selected Publications


Senami Kojah, Kentaro Toyama, and Oliver L. Haimson. 2025. Silencing the Voiceless: Social Media Content Moderation for At Risk Marginalized Populations in High-Stakes Violence and Human Rights Contexts in Nigeria. Proceedings of the ACM Human Computer Interaction (PACM HCI), (CSCW 2025).
[open-access link] [PDF]

Caoyang Shen and Oliver L. Haimson. 2025. The Virtual Jail: Content Moderation Challenges Faced by Chinese Queer Content Creators on Douyin. Proceedings of the 2025 CHI Conference on Human Factors in Computing Systems (CHI '25).
[open-access link] [PDF]

Senami Kojah, Ben Zefeng Zhang, Carolina Are, Daniel Delmonaco, and Oliver L. Haimson. 2025. "Dialing it Back:" Shadowbanning, Invisible Digital Labor, and How Marginalized Content Creators Attempt to Mitigate the Impacts of Opaque Platform Governance. Proceedings of the ACM Human Computer Interaction (PACM HCI), (GROUP 2025).
[open-access link] [PDF]

Samuel Mayworm, Kendra Albert, and Oliver L. Haimson. 2024. Misgendered During Moderation: How Trans Bodies Make Visible Cisnormative Content Moderation Policies and Enforcement on Social Media Platforms. Proceedings of the 2024 ACM Conference on Fairness, Accountability, & Transparency (FAccT).
[open-access link] [PDF] [press]

Hibby Thach, Samuel Mayworm, Michaelanne Thomas, and Oliver L. Haimson. 2024. Trans-Centered Moderation: Trans Technology Creators and Centering Transness in Platform and Community Governance. Proceedings of the 2024 ACM Conference on Fairness, Accountability, & Transparency (FAccT).
[open-access link] [PDF]

Samuel Mayworm, Shannon Li, Hibby Thach, Daniel Delmonaco, Christian Paneda, Andrea Wegner, and Oliver L. Haimson. 2024. The Online Identity Help Center: Designing and Developing a Content Moderation Policy Resource for Marginalized Social Media Users. Proceedings of the ACM Human Computer Interaction (PACM HCI), (CSCW 2024).
[open-access link] [PDF]

Daniel Delmonaco, Samuel Mayworm, Josh Guberman, Hibby Thach, Aurelia Augusta, and Oliver L. Haimson. 2024. "What are you doing, TikTok?": How Marginalized Social Media Users Perceive, Theorize, and "Prove" Shadowbanning. Proceedings of the ACM Human Computer Interaction (PACM HCI), (CSCW 2024).
[open-access link] [PDF] [press]

Samuel Mayworm, Michael Ann DeVito, Daniel Delmonaco, Hibby Thach, and Oliver L. Haimson. 2024. Content Moderation Folk Theories and Perceptions of Platform Spirit Among Marginalized Social Media Users. ACM Transactions on Social Computing.
[open-access link] [PDF]

Hibby Thach, Samuel Mayworm, Daniel Delmonaco, and Oliver L. Haimson. 2022. (In)visible moderation: A digital ethnography of marginalized users and content moderation on Twitch and Reddit. New Media & Society.
[open-access link] [PDF] [press]

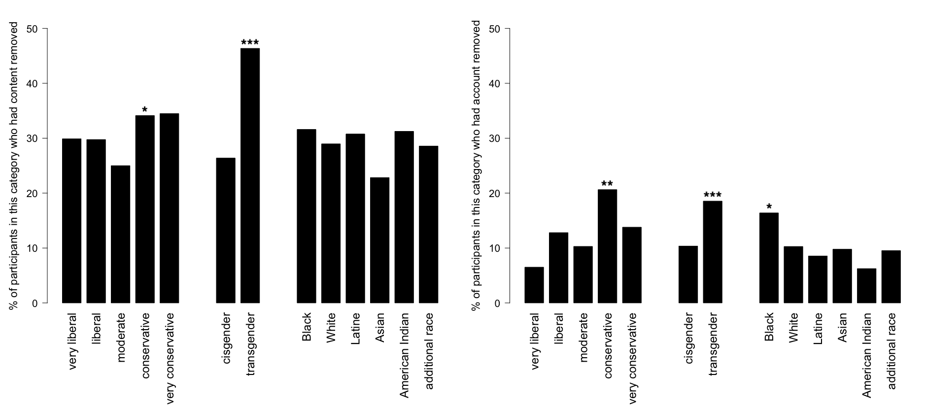
Oliver L. Haimson, Daniel Delmonaco, Peipei Nie, and Andrea Wegner. 2021. Disproportionate Removals and Differing Content Moderation Experiences for Conservative, Transgender, and Black Social Media Users: Marginalization and Moderation Gray Areas Proceedings of the ACM Human Computer Interaction (PACM HCI), (CSCW 2021).
[open-access link] [PDF] [video] [summary]

Shakira L. Smith, Oliver L. Haimson, Claire Fitzsimmons, and Nikki Echarte Brown (a community report by the Salty Algorithmic Bias Collective). 2021. Censorship of Marginalized Communities on Instagram. Salty.
[link]

Sarita Schoenebeck, Oliver L. Haimson, and Lisa Nakamura. 2021. Drawing from Justice Theories to Support Targets of Online Harassment. New Media & Society.
[link] [PDF] [press]

Taika Augustaitis, Leland Merrill, Kristi E. Gamarel, and Oliver L. Haimson. 2021. Online Transgender Health Information Seeking: Facilitators, Barriers, and Future Directions. In Proceedings of the 2021 CHI Conference on Human Factors in Computing Systems (CHI '21).
[open-access link] [PDF] [video]

Oliver L. Haimson, Justin Buss, Zu Weinger, Denny L. Starks, Dykee Gorrell, and Briar Sweetbriar Baron. 2020. Trans Time: Safety, Privacy, and Content Warnings on a Transgender-Specific Social Media Site. Proceedings of the ACM Human Computer Interaction (PACM HCI), (CSCW 2020).
[link] [PDF] [video]